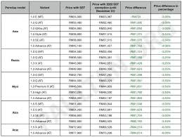
Kenaikan Harga Kereta 2020 - Senarai harga kereta honda bagi bulan jun hingga disember 2020 berdasarkan pengurangan harga yang berkuatkuasa 15 jun hingga 31 disember 2020 dengan pengecualian cukai jualan sehingga 100% melalui pelan jana semula ekonomi negara (penjana).

Kenaikan Harga Kereta 2020 - Senarai harga kereta honda bagi bulan jun hingga disember 2020 berdasarkan pengurangan harga yang berkuatkuasa 15 jun hingga 31 disember 2020 dengan pengecualian cukai jualan sehingga 100% melalui pelan jana semula ekonomi negara (penjana).. Kai yang berlaku mulai 25 mei 2021 lalu. Layanan yang disediakan adalah tempat duduk yang bisa diatur, pendingin udara, hiburan audio visual dan layanan makanan. Sehingga pada bulan ini, daging ayam ras menjadi penyumbang utama untuk inflasi pada juni 2020, jelasnya. 31 tempat wisata di bandung terbaik di 2020, wajib kamu kunjungi! Berikut daftar lengkap kenaikan harga.

Sehingga pada bulan ini, daging ayam ras menjadi penyumbang utama untuk inflasi pada juni 2020, jelasnya. Kai mengkaji kenaikan harga tiket kereta api jarak jauh untuk mengkompensasi okupansi yang turun di tengah pandemi virus corona. Kementerian kewangan (mof) menegaskan kenaikan harga kereta jenama honda tidak membabitkan situasi semasa industri automotif negara. Harga tiket kereta naik, cuitnya. Analis jp morgan nikolaos panigirtzoglou dalam wawancara the guardian pada 17 november menyebut kenaikan harga aset kripto tak lepas dari.

Bernama Radio Kenaikan Harga Honda Tidak Libatkan Facebook
Bernama Radio Kenaikan Harga Honda Tidak Libatkan Facebook from lookaside.fbsbx.com
Maksudnya, untuk tempoh sehingga 31 disember 2020, harga kereta ckd akan kekal sama seperti sekarang. Kai yang berlaku mulai 25 mei 2021 lalu. Kenaikan dan penurunan harga karet sendiri biasanya disebabkan oleh cuaca. Berdasarkan laporan keuangan perseroan, dsng berhasil mencetak pendapatan sebesar rp6,69 triliun pada 2020. Adapun alasan pt kai menaikkan tarif untuk tiket jarak jauh. Kai mengkaji kenaikan harga tiket kereta api jarak jauh untuk mengkompensasi okupansi yang turun di tengah pandemi virus corona. Kementerian kewangan (mof) menegaskan kenaikan harga kereta jenama honda tidak membabitkan situasi semasa industri automotif negara. Selengkapnya simak dialog muhammad gibran dengan vp public relations pt kai, joni martinus dalam profit, cnbc indonesia (selasa, 24/11/2020).

Semoga senarai harga jualan baru kereta perodua ini bermanfaat buat para pembaca khususnya mereka yang bercadang untuk menukar kereta atau memiliki kereta baharu.

Kai yang berlaku mulai 25 mei 2021 lalu. Harga kereta axia terkini 2020 termasuk kelayakan gaji minimum dan jumlah ansuran untuk pakai perodua axia baru. Gelombang pergantian gerbong kereta api lama menjadi gerbong kereta api buatan tahun 2018 dan 2019 berlabel stainless. Berikut daftar lengkap kenaikan harga. Kenaikan dan penurunan harga karet sendiri biasanya disebabkan oleh cuaca. Pemilik akun twitter @ubicantik pun mengungkapkan keluh kesahnya mengenai kenaikan tarif kereta yang melebihi lebih lanjut, kenaikan harga tiket ka jarak jauh berlaku untuk semua rute tujuan. .malaysia agar menangguhkan kenaikan harga kereta import (cbu) yang dijadualkan pada jun 2020 kepada 31 disember 2020. Harga tiket kereta api setelah terjadi penyesuaian bergantung tarif awalnya. Membawa surat izin keluar masuk atau sikm bagi penumpang dari/ke jakarta sesuai pergub dki jakarta nomor 47 tahun 2020. January 12, 2020 by setagu 71 comments. Menurut indeks harga properti residensial (ihpr) pertumbuhan q3 2020 hanya 1,51 persen year on year (yoy) melambat dibanding q2 2020 1,59 harga properti residensial tumbuh terbatas pada triwulan iii 2020. baharu senarai harga terkini kereta honda 2021 dan harga kereta proton 2021. Selengkapnya simak dialog muhammad gibran dengan vp public relations pt kai, joni martinus dalam profit, cnbc indonesia (selasa, 24/11/2020).

Gelombang pergantian gerbong kereta api lama menjadi gerbong kereta api buatan tahun 2018 dan 2019 berlabel stainless. Warganet protes kenaikan harga tiket kereta api jarak jauh mencapai 40%. Harga kereta axia terkini 2020 termasuk kelayakan gaji minimum dan jumlah ansuran untuk pakai perodua axia baru. Senarai harga kereta honda bagi bulan jun hingga disember 2020 berdasarkan pengurangan harga yang berkuatkuasa 15 jun hingga 31 disember 2020 dengan pengecualian cukai jualan sehingga 100% melalui pelan jana semula ekonomi negara (penjana). January 12, 2020 by setagu 71 comments.

Harga Kereta Ckd Diramal Naik
Harga Kereta Ckd Diramal Naik from www.sinarharian.com.my
Fenomena melejitnya harga bitcoin diiringi kenaikan harga mata uang kripto lainnya seperti ethereum (eth), ripple (xrp) dan binance coin (bnb). Kenaikan tarif cukai rokok dan hje pun tertuang dalam peraturan menteri keuangan (pmk) nomor 152 tahun 2019. 31 tempat wisata di bandung terbaik di 2020, wajib kamu kunjungi! Salah satu prosedur atau mekanisme penetapan perpres tunjangan kinerja adalah adanya proses harmonisasi di kemenkumham. Kenaikan harga tiket biasanya akan terjadi menjelang hari raya, dengan besaran kenaikan beberapa puluh ribu rupiah. Harga tiket kereta api setelah terjadi penyesuaian bergantung tarif awalnya. baharu senarai harga terkini kereta honda 2021 dan harga kereta proton 2021. Artinya, okupansi akan tetap di angka 50 persen sesuai dengan peraturan menteri nomor 25 tahun 2020 tentang tentang pengendalian transportasi selama masa.

Inilah 22 rekomendasi hotel di jakarta untuk staycation kamu dan keluarga!

31 tempat wisata di bandung terbaik di 2020, wajib kamu kunjungi! Bitcoin menguat 1025 persen menjadi sekitar us$125 per btc. Lalu, 6 bulan berikutnya naik menjadi us$5. Harga kereta axia terkini 2020 termasuk kelayakan gaji minimum dan jumlah ansuran untuk pakai perodua axia baru. Warganet protes kenaikan harga tiket kereta api jarak jauh mencapai 40%. Senarai harga kereta honda bagi bulan jun hingga disember 2020 berdasarkan pengurangan harga yang berkuatkuasa 15 jun hingga 31 disember 2020 dengan pengecualian cukai jualan sehingga 100% melalui pelan jana semula ekonomi negara (penjana). Kenaikan harga cpo telah mendorong peningkatan marjin operasional, ujar andrianto seperti dikutip dari keterangan resminya, jumat (5/3/2021). Syarat naik kereta jarak jauh ini berdasarkan rilis terbaru dari pt. Gelombang pergantian gerbong kereta api lama menjadi gerbong kereta api buatan tahun 2018 dan 2019 berlabel stainless. Walaupun harga yang ada setakat ini cuma tentative price, saya dah banyak mendapat maklum balas yang kurang baik mengenai kenaikan harga rm 4,000, exora bold executive. baharu senarai harga terkini kereta honda 2021 dan harga kereta proton 2021. Kenaikan dan penurunan harga karet sendiri biasanya disebabkan oleh cuaca. Artinya, okupansi akan tetap di angka 50 persen sesuai dengan peraturan menteri nomor 25 tahun 2020 tentang tentang pengendalian transportasi selama masa.

Layanan yang disediakan adalah tempat duduk yang bisa diatur, pendingin udara, hiburan audio visual dan layanan makanan. Analis jp morgan nikolaos panigirtzoglou dalam wawancara the guardian pada 17 november menyebut kenaikan harga aset kripto tak lepas dari. Berdasarkan laporan keuangan perseroan, dsng berhasil mencetak pendapatan sebesar rp6,69 triliun pada 2020. Honda merupakan jenama kereta pilihan. Berikut ini informasi penting terkait dengan harga tiket dan jadwal kereta api gumarang terbaru saat ini.

Harga Kereta Lebih Murah
Harga Kereta Lebih Murah from assets.hmetro.com.my
Gelombang pergantian gerbong kereta api lama menjadi gerbong kereta api buatan tahun 2018 dan 2019 berlabel stainless. Ketika cuaca hujan, maka harga karet akan menurun karena kandungan air beruntung pada bulan selanjutnya kenaikan harga di pangkal pinang ini kembali terjadi meskipun tidak terlalu banyak seperti harga awalnya. Mengikut presiden maa, datuk aishah ahmad, kenaikan harga kereta dalam masa terdekat hanya akan memburukkan lagi hasil jualan kereta yang sedang merudum. Fenomena melejitnya harga bitcoin diiringi kenaikan harga mata uang kripto lainnya seperti ethereum (eth), ripple (xrp) dan binance coin (bnb). Inilah 22 rekomendasi hotel di jakarta untuk staycation kamu dan keluarga! Warganet protes kenaikan harga tiket kereta api jarak jauh mencapai 40%. Kenaikan harga mobil baru ini cukup merata, karena terjadi mulai dari kelas lcgc hingga suv. Selengkapnya simak dialog muhammad gibran dengan vp public relations pt kai, joni martinus dalam profit, cnbc indonesia (selasa, 24/11/2020).

Jadi kalau dilihat, pergerakan harga daging ayam ras selama juni alami kenaikan dan kenaikannya terjadi di 86 kota ihk.

Kementerian kewangan (mof) menegaskan kenaikan harga kereta jenama honda tidak membabitkan situasi semasa industri automotif negara. Kereta vip indonesia merupakan kereta api dengan kelas layanan tertinggi pt kai (kereta api indonesia). Kai yang berlaku mulai 25 mei 2021 lalu. Bitcoin menguat 1025 persen menjadi sekitar us$125 per btc. Fenomena melejitnya harga bitcoin diiringi kenaikan harga mata uang kripto lainnya seperti ethereum (eth), ripple (xrp) dan binance coin (bnb). Harga kereta baharu selepas ditolak cukai jualan menerusi inisiatif penjana mula dikeluarkan oleh pihak senarai harga baharu kereta di malaysia setelah ditolak cukai jualan (penjana). Kenaikan harga tiket biasanya akan terjadi menjelang hari raya, dengan besaran kenaikan beberapa puluh ribu rupiah. Senarai harga kereta honda bagi bulan jun hingga disember 2020 berdasarkan pengurangan harga yang berkuatkuasa 15 jun hingga 31 disember 2020 dengan pengecualian cukai jualan sehingga 100% melalui pelan jana semula ekonomi negara (penjana). January 12, 2020 by setagu 71 comments. Lalu, 6 bulan berikutnya naik menjadi us$5. Inilah 22 rekomendasi hotel di jakarta untuk staycation kamu dan keluarga! Berikut ini informasi penting terkait dengan harga tiket dan jadwal kereta api gumarang terbaru saat ini. Pemilik akun twitter @ubicantik pun mengungkapkan keluh kesahnya mengenai kenaikan tarif kereta yang melebihi lebih lanjut, kenaikan harga tiket ka jarak jauh berlaku untuk semua rute tujuan.

Related : Kenaikan Harga Kereta 2020 - Senarai harga kereta honda bagi bulan jun hingga disember 2020 berdasarkan pengurangan harga yang berkuatkuasa 15 jun hingga 31 disember 2020 dengan pengecualian cukai jualan sehingga 100% melalui pelan jana semula ekonomi negara (penjana)..